
Στο «φως» έρχεται έγγραφο ντοκουμέντο, που παρουσιάζει ότι ο σταθμάρχη της Λάρισας και ο άτυχος μηχανοδηγός την αμαξοστοιχίας Intercity 62 στα Τέμπη, γνώριζαν πως η κίνηση των τρένων γινόταν σε διπλή γραμμή.
Ειδικότερα, όπως αναφέρουν πληροφορίες, τουλάχιστον 93 λεπτά πριν την σύγκρουση των δύο τρένων στα Τέμπη, οι δύο άνδρες γνώριζαν ότι η κίνηση δεν γινόταν σε μονή, αλλά σε διπλή γραμμή.
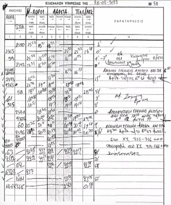
Τι αναφέρει το έγγραφο για την κίνηση των τρένων στα Τέμπη
Σύμφωνα με το έγγραφο, στις 21:48 στις 28/2/23, η αμαξοστοιχία 63 αναχωρεί από τους Νέους Πόρους μετα κατεύθυνση προς Λάρισα, στην γραμμή καθόδου.
Στις 21:50 στις 28/2/23, η αμαξοστοιχία 93506 αναχωρεί από Λάρισα, με κατεύθυνση τους Νέους Πόρους, στην γραμμή ανόδου. Η διάρκεια της διαδρομής αυτής ήταν 22 λεπτά. Οι δύο αμαξοστοιχίες συναντήθηκαν στα Τέμπη. Αυτό σημαίνει και ο μηχανοδηγός και ο σταθμάρχης γνώριζαν ότι βρίσκονταν σε διπλή γραμμή. 
Στις 23:04 αναχωρεί η μοιραία αμαξοστοιχία 62 -η οποία έχει ξεκινήσει από Αθήνα και πηγαίνει προς Θεσσαλονίκη- από Λάρισα με κατεύθυνση τους Νέους Πόρους, στην γραμμή ανόδου. Δυστυχώς ο 59χρονος προφυλακισθέντας σταθμάρχης είχε ξεχάσει την διαγώνιο 118, στην Καραγάτσι, και το τρένο μπαίνει στην γραμμή καθόδου.
Από εκεί και έπειτα δεν υπάρχει κάποια επικοινωνία του σταθμάρχη με τον μηχανοδηγό της αμαξοστοιχίας 62, με αποτέλεσμα λίγα λεπτά μετά, να σημειωθεί οι σύγκρουση με την εμπορική αμαξοστοιχία που είχε ως αποτέλεσμα να χάσουν τη ζωή τους 57 άτομα, και να τραυματιστούν δεκάδες άλλοι.
Tο pronews.gr δημοσιεύει κάθε σχόλιο το οποίο είναι σχετικό με το θέμα στο οποίο αναφέρεται το άρθρο. Ο καθένας έχει το δικαίωμα να εκφράζει ελεύθερα τις απόψεις του. Ωστόσο, αυτό δεν σημαίνει ότι υιοθετούμε τις απόψεις αυτές και διατηρούμε το δικαίωμα να μην δημοσιεύουμε συκοφαντικά ή υβριστικά σχόλια όπου τα εντοπίζουμε. Σε κάθε περίπτωση ο καθένας φέρει την ευθύνη των όσων γράφει και το pronews.gr ουδεμία νομική ή άλλα ευθύνη φέρει.
Δικαίωμα συμμετοχής στη συζήτηση έχουν μόνο όσοι έχουν επιβεβαιώσει το email τους στην υπηρεσία disqus. Εάν δεν έχετε ήδη επιβεβαιώσει το email σας, μπορείτε να ζητήσετε να σας αποσταλεί νέο email επιβεβαίωσης από το disqus.com
Όποιος χρήστης της πλατφόρμας του disqus.com ενδιαφέρεται να αναλάβει διαχείριση (moderating) των σχολίων στα άρθρα του pronews.gr σε εθελοντική βάση, μπορεί να στείλει τα στοιχεία του και στοιχεία επικοινωνίας στο info3@pronews.gr και θα εξεταστεί άμεσα η υποψηφιότητά του.